Interaction plots



With overlaid with observed values (as above).



With lines connecting the means (as above).



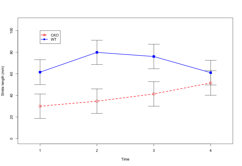
With lines connecting the means and error bars (as above).